Расчет КПД машинного агрегата
Машинный агрегат - Совокупность механизмов двигателя, передаточных механизмов и механизмов рабочей машины.
Рассмотрим отдельно установившееся движение. Для каждого полного цикла этого движения приращение кинетической энергии равно нулю:
∑(mv2)/2-∑(mv02)/2=0 (1)
Механическим коэффициентом полезного действия (к.п.д.) называется отношение абсолютной величины работы сил производственных сопротивлений к работе всех движущих сил за цикл установившегося движения. В соответствии с этим можно написать формулу:
К. П.Д. определяется по формуле: η=Ап. с/Ад (2)
Где: Апс - работа производственных сил;
Ад - работа движущих сил.
Отношение работы АТ непроизводственных сопротивлений к работе движущих сил принято обозначать через Ψ и называть коэффициентом механических потерь. В соответствии с этим формулу можно записать так:
η = АТ /АД= 1 – Ψ (3)
Чем меньше в механизме работ непроизводственных сопротивлений, тем меньше его коэффициент потерь и тем совершеннее механизм в энергетическом отношении.
Из уравнения следует: т. к. ни в одном механизме работа АТ не производственных сил сопротивлений, сил трения (трения коченея, трение скольжение, сухое, полусухое, жидкостное, полужидкостное), практически не может, равняться нулю, то кпд не может равняться нулю.
Из формулы (2) следует, что кпд может быть равен нулю если
АТ = АД
Значит, кпд равен нулю, если работа движущих сил равна работе всех сил непроизводственных сопротивлений, которые имеются в механизме. В этом случае движение является возможным, но без совершения какой либо работы. Такое движение механизма называют движением в холостую.
КПД не может быть меньше нуля, т. к. для этого необходимо, чтобы отношение работ АТ / АД было больше единицы:
АТ / АД >1 или АТ > АД
Из этих неравенств следует, что если механизм, удовлетворяющий указанному условию, находится в покое, то действительного движения не произойти не может, Это явление носит название Самоторможения механизма. Если же механизм находится в движении. То под действием сил непроизводственных сопротивлений он постепенно будет замедлять вой ход, пока не остановится (затормозится). Следовательно, получении при теоретических расчётах отрицательного значения кпд служит признаком самоторможения механизма или невозможности движения в заданном направлении.
Таким образом, кпд механизма может изменяться в пределах:
0 ≤η< 1 (4)
Из формулы (2) следует, что кпд Ψ изменяется в пределах: 0 ≤η< 1
Взаимосвязь машин в машинном агрегате.
Каждая машина представляет собой комплекс соединенных определенным образом механизмов, а некоторые сложные могут быть расчленены на более простые, то имея возможность вычислить К. П.Д. простых механизмов или же имея в своем распоряжении определенные значения К. П.Д. простых механизмов, можно найти полный К. П.Д. машины, составленный из простых элементов в любой их комбинации.
Все возможные случаи передачи движения и силы можно разделить на случаи: последовательного, параллельного и смешанного соединения.
При расчете К. П.Д. соединений будем брать агрегат, состоящий из четырёх механизмов которого: N1=N2=N3=N4, η1=η2=η3=η4=0.9
Движущую силу (АД) принимаем = 1,0
Рассмотрим К.П.Д. последовательного соединения.

Первый механизм приводится в движение движущими силами, которые совершают работу Ад. Так как полезная работа каждого предыдущего механизма, затрачивается на производственные сопротивления, является работой движущих сил для каждого последующего, то К. П.Д. η первого механизма равен:
η=А1/Ад
Второго - η =А2/А1
Третьего – η=А3/ А2
Четвертого – η=А4/ А3
Общий коэффициент полезного действия η1n=Аn/Ад
Значение этого коэффициента полезного действия может быть получена, если перемножить все отдельные коэффициенты полезно действия η1, η2,η3,η4. Имеем
η=η1*η2*η3*η4=(А1/АД)*(А2/А1)*(А3 /А2)*(А4/А3)=Аn/Ад (5)
Таким образом, общий механический коэффициент полезного действия последовательного соединения механизмов равняется произведению механических коэффициентов полезного действия отдельных механизмов, составляющих одну общую систему.
η=0,9*0,9*0,9*0,9=0,6561=Ап. с.
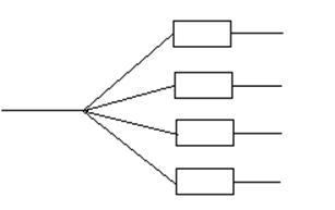
Рассмотрим К.П.Д. параллельного соединения.
При параллельном соединении механизмов может, быть может быть два случая: от одного источника двигательной силы мощность передаётся нескольким потребителям, несколько источников параллельно питают одного потребителя. Но мы рассмотрим первый вариант.
При таком соединении: Ап. с.=А1+А2+А3+А4

Если К. П.Д. у каждого механизма одинаковый то и мощность будет распределяться на каждый механизм одинаково: ∑КI=1 то ⇒ К1=К2=К3=К4=0,25.
Тогда: η=∑Кi*ηi (6)
η =4(0.25*0.90)=0.90
Таким образом, общий К. П.Д. параллельного соединения как сумма произведений каждого отдельного участка цепи агрегата.
Рассмотрим К.П.Д смешанного соединения.
В этом случае есть и последовательное и параллельное соединение механизмов.
В этом случае мощность Ад передаётся на два механизма (1,3), а от них на остальные (2,4)
Т. к. η1*η2=А2 и η3*η4=А4, а К1=К2=0,5
Сумма А2 и А4 равна Ап. с. то из формулы (1) можно найти К. П.Д. системы
η=К1*η1*η2+К2*η3*η4 (7)
η=0,5*0,9*0,9+0,5*0,9*0,9=0,405+0,405=0,81
Таким образом, общий К. П.Д. смешанного соединения равняется как сумма произведений механических коэффициентов соединенных последовательно умноженное на часть движущей силы.
Пути повышения К.П.Д.
Сейчас основные усилия инженеров направлены на повышение КПД двигателей за счет уменьшения трения их частей, потерь топлива вследствие его неполного сгорания и т. д. Реальные возможности для повышения КПД здесь все еще остаются большими, действия равно: Действительное же значение КПД из-за различного рода энергетических потерь приблизительно равно 40%. Максимальный КПД - около 44% - имеют двигатели внутреннего сгорания. Коэффициент полезного действия любого теплового двигателя не может превышать максимально возможного значения 40-44%.
Вывод: при рассмотрении каждого соединения механизмов в отдельности можно сказать, что наибольший кпд у параллельного соединения он равен η=0,9. Следовательно в агрегатах нужно стараться использовать параллельное соединение или максимально приблежонное к нему.