ЛАБОРАТОРНАЯ РАБОТА «ЭКСПЕРИМЕНТАЛЬНОЕ ИССЛЕДОВАНИЕ БАРАБАННОГО ИЗМЕЛЬЧИТЕЛЯ КОРМОВ»
1. Барабанными аппаратами оснащают агрегаты типа КДУ -2, "Волгарь - 5А" и др. В сравнении с дисковыми измельчителями барабанные работают при постоянном значении углов скольжения и защемления на всем пути резания лезвием, что при постоянном значении величины г, равной радиусу вылета лезвия ножа от оси ротора, создаст возможность получения постоянного момента двигателя.
2. Цель работы: определение качественных характеристик измельчения стебельных кормов.
3. Оборудование, приборы, инструмент: измельчитель барабанного типа; счетный инструмент; секундомер; весы настольные; сноп соломы.
Произвести опытное измельчение соломы и обработку опытных данных:
А) Проверить и отрегулировать на лабораторной установке зазор противорежущих пар, натяжение ремней, лент транспортеров. Проаерить остроту ножей, наличие смазки в подшипниках состояние заземления, зануление двигателя. При этом строго соблюдать правила техники безопасности.
Б) Проверить работу измерительных приборов, произвести подключение приборов в схему лабораторной установки. Снять показания приборов при работе установки.
В) Взвесить пробу (сноп) соломы в количестве 3.4 кг и уложить ее на транспортер подачи установки.
Г) Включить в работу измельчитель. Предварительно убедиться в отсутствии на транспортере посторонних материалов и нахождении пусковой скобы транспортера в нейтральном положении. По достижении ротором рабочих оборотов включить транспортер подачи. С началом резания включить секундомер и произвести запись показаний приборов. С окончанием резания отключить измельчитель. Измельченный материал собрать б емкость (ящик).
Д) Определить производительность установки и сравнить с заводскими данными, объяснить расхождение.
Е) Обработать данные опыта: отобрать из измельченной массы пять проб по 100 грамм из разных точек ящика. Отсчитать из каждой пробы по 15...20 частиц имеющих правильный срез. Замерить длины этих частиц (по навескам!) с точностью до 0,1 мм. Результаты занести в таблицу и использовать для нахождении средней арифметической длины резки, дисперсии результатов замеров, среднего квадратического отклонения и ошибки средневыборочной.
Средняя арифметическая длина резки по каждой навеске (пробе): 
Т. е. средняя арифметическая равна сумме всех отдельных результатов измерений, деленной на количество измерений.
Средняя взвешенная арифметическая находится, если все измерения сгруппированы в «т» классов с разными количествами измерений nьn 2,.....nз в каждом классе:
Взвешенная средняя арифметическая :

Отклонение отдельного результата от средней арифметической можно представить, как разность 1i-1ср где 1i - результат любого отдельного измерения.
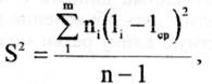
Дисперсией S2 случайной величины называют среднее значение квадрата отклонений случайной величины от ее среднего значения:

Корень квадратный из дисперсии, взятый с положительным знаком, называется средним квадратическим отклонением или стандартом

При разделении всех измерений на m классов с классовыми средними дисперсия будет равна:

А среднее квадратическое отклонение (стандартное отклонение):

С размерностью величины для которой делалось исчисление.
Так как стандартное отклонение - это квадратный корень из дисперсии, то по его значению находят ошибку средней арифметической по формуле:

Уменьшив и увеличив среднюю арифметическую на утроенную ошибку получаем диапазон, в котором могут колебаться величины средней арифметической в зависимости от количества случаев охваченных выборкой - Для оценки изменчивости результатов опыта (длин резки) при малом (до 25) количестве изменчивости длины в 95% при удвоенной ошибке ±1ср. Для сравнения выборок между собой пользуются коэффициентом вариации:

Коэффициент вариации представляет отношение стандарта (стандартного отклонения) к средней арифметической, выраженном в значении

Ж) Подученные результаты следует представить в табличной форме и пять письменное заключение о результатах исследования, сравнив полученные данные с номиналом - расчетной длиной резки. Следует дать объяснение расхождению результатов сравнения. Расчетную длину резки можно найти по формуле:

А с учетом проскальзывания соломы относительно подающего устройства по формуле

Где R - радиус вальца (вальца подпрессовывающего транспортера) в мм; k - число ножей на роторе; i - Передаточное число приводного механизма к вальцу; δ – коэффициент проскальзывания материала при резании, в сечении горловины, где скорости питающего и подпрессовывающего транспортеров равны.
Значения δ зависят от ряда факторов, которые студент обязан в отчете перечислить и оценить по влиянию. Примерное значение для расчета: 8 = 0,3.0,38. Результаты представить в форме табл. 5.
Таблица 5
Результаты опыта
|
№№ Производительность экспериментальной установки Q= |
||||||||||||
|
№№ опыта (замера) Результаты измерений по пробам от навески |
||||||||||||
|
№№п/п |
1-я проба |
2-я проба |
3-я проба |
|||||||||
|
1 |
L-lСр |
S |
S |
1 |
L-lСр |
S2 |
S |
1 |
L-lСр |
S2 |
S |
|
|
1 2 3 |